2x/x^2 1 積分 708017-2x/x^2+1 積分
4 變數變換法 在前述的積分中,我們令一個新的變數代表積分中根號內的 式子u = 1 x2 ,由萊布尼茲符號du/dx = 2x ,因此可得 du = 2x dx 先不論這合不合理,我們將其代入積分式中替換:0110 · 商の微分からこれは (2x)/(x^21)^2 となります。 微分で次数が下がり、(x^21)^2 が分母に現れて本問に近くなりました。 この、「1/(x^21) の微分は、(2x)/(x^21)^2」は言い換えれば、 「(2x)/(x^21)^2 を積分すれば、1/(x^21)」積分 1/(x^2A)^(1/2) ∫ 1 x 2 A d x ・・・・・・(1) (A ≠ 0) log の微分の具体例で,ここを参照すると, log x x 2 A ′ = 1 x 2 A とあるので,これを利用する. 積分は微分と逆の操作なので,(1)式は以下のようになる. ∫ 1 x 2 A d x = log x x 2 A C
1 Int24 X 2 X 3 X 4 Dx See How To Solve It At Qanda
2x/x^2+1 積分
2x/x^2+1 積分-積分電卓 解析積分を用いて所与の変数に対する関数の不定積分(アンチ導出)を計算する。 また、関数のグラフとその積分を描画することもできる。 積分電卓 (x^21)/(x^21)積分 e^(x^2) 從負無窮到正無窮, Gaussian integral, integral of e^(x^2) from inf to inf, sqrt(pi), sqrt(π),blackpenredpen, math for fun



How Do You Integrate Int 1 X Lnx 3 By Parts Socratic
0312 · 謝謝~ ※ 發信站 批踢踢實業坊(pttcc) From → ejialan ln(2x)=ln x ln 2 差積分常數而已 03/ 2302 → zipi 感謝! · I need to calculate the theta using inversetan But since microcontrollers do not provide much computational freedom, I was looking to solve it as the integral of 1/(1x^2) Other than the fact that, integral of 1/(1x^2) is arctan(x)X^5 dxの積分 WolframAlpha WolframAlphaのご利用についてのご質問は Proプレミアムのエキスパートサポートまで お問い合せください » フィードバックを お書きください »
· ∫x dx/(x^2 1) = (1/2)∫2x dx/(x^2 1) と考えれば、即刻積分でき、 ∫x dx/(x^2 1) = (1/2)∫2x dx/(x^2 1) = (1/2) {ln (x^2 1)} C 慣れていなければ、 x^2 = t と置けば、 dt/dx = 2x dx = dt/(2x) だから、 ∫x dx/(x^2 1) = ∫dt/{2 (t 1)} = (1/2)∫dt/(t 1) = (1/2) (ln t 1) C t を戻せば、絶対値の中身は常に正だから、 (1/2) ln t 1 C = (1/2) ln (x^2 1) C 以上より ∫x dx/(x^2 1) = (1/2) ln (x^2 1定積分の置換積分では, (1) 被積分関数 b∫ awww f (x) dx (2) 積分変数 b∫ awww f (x) dx (3) 積分区間 b∫ awww f (x) dx の3箇所を書き換えます。 例11B'nn tan −1 xB'nn C ※この形の不定積分を関数として表すためには逆三角関数を必要とするため,高校では扱われないのが普通.ただし,同じ形でも 定積分 は数値の差=定数となるから,この形の定積分は高校の範囲に入る. (16) 分母が数種類の2次式の積になっている場合 ∫wn sxp(ax2bxc)m(dx2exf)nnnnnnnnnnnnnnnnnnnnn dx (a,d ≠0,m,n=2,3,) 部分分数分解
定積分 備註1 定積分 本身是一個數字,不是x 的函數。 事實上這個數值也與積分變數無關,積分變數可以任意代換: 備註2 這個和 一般稱為黎曼和(Riemann sum) ,是為了紀念數學家黎曼。 這樣定義出來的積分也稱為黎曼積分(Riemann integral) 。累乗の法則を応用し、 ( a m) n = a m n ( a m) n = a m n 指数を乗算します。 2 2 に − 1 1 を掛けます。 積分公式によって y−2 y 2 を y y について積分すると、 −y−1 y 1 になります。 −1 y C 1 y C として −y−1 C y 1 C を書き換えます。 · tanを使った置換積分 先ほどの例題を、別の置換方法で見てみましょう。 例題 次の不定積分を計算しなさい。 ∫ 1 x√x2 1 dx ∫ 1 x x 2 1 d x ここでは、 x = tant x = tan t (− π 2 < t < π 2) ( − π 2 < t < π 2) とおいて計算してみることにしましょう。 この



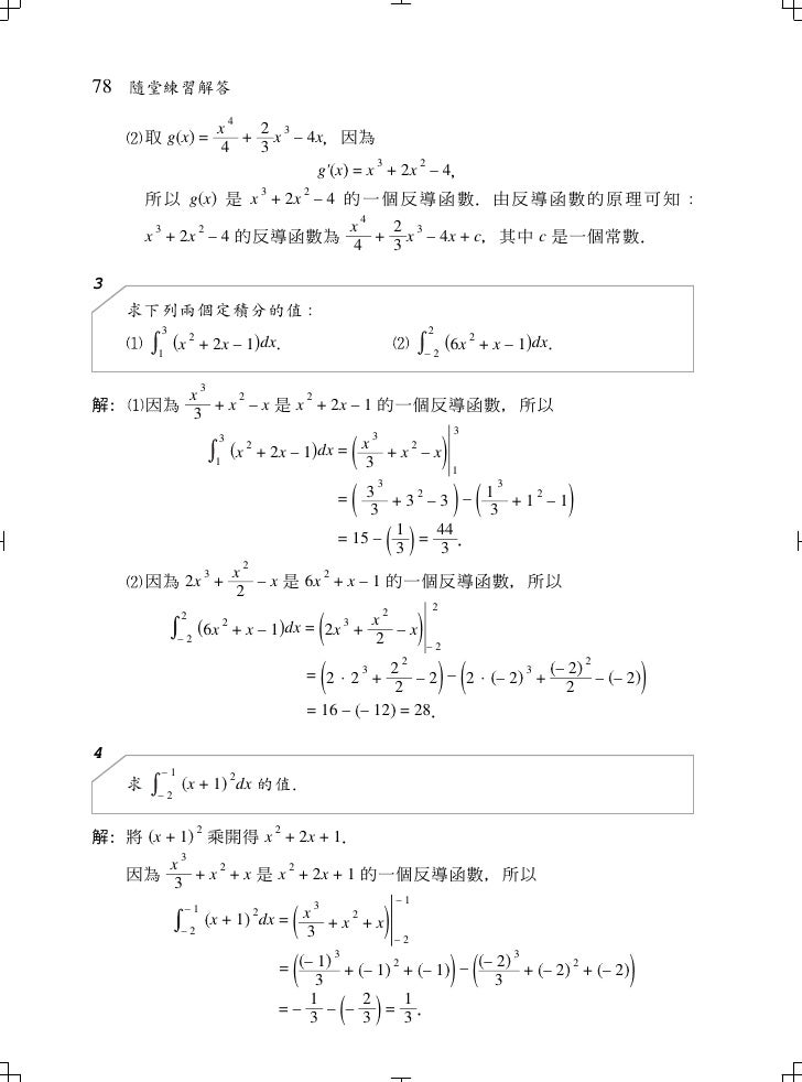
3



How To Integrate 4 X 2 1 2 Quora
0118 · And restoring the substitution we get I 1 = − 1 3 (2x −x2)3 2 Next we consider the second integral, I 2 = ∫ √2x −x2 dx = ∫ √1 −(x −1)2 dx And here we can perform a substitution;積分 x^2*√ (x^21) ∫ x2√x21dx ∫ x 2 x 2 1 d x ∫ x2√x21dx ∫ x 2 x 2 1 d x = ∫ x⋅x√x21dx = ∫ x · x x 2 1 d x 部分積分法 を用いて計算をすすめると, = ∫ x{1 3(x21)3 2}′ dx = ∫ x { 1 3 ( x 2 1The Integral Calculator lets you calculate integrals and antiderivatives of functions online — for free!



求不定积分 Xarctanx 1 X 2 Dx 雨露学习互助



How Do You Integrate Int 1 X Lnx 3 By Parts Socratic
Integrate 1/(cos(x)2) from 0 to 2pi; · 広義積分です ∫ 0→1 1/x^2 dx この解き方を教えてください 広義積分の分母=0や∞が端点のときはそのまま普通の定積分のように計算していいと授業で習って、範囲が 1→∞のときの1/x^2dxは解けたんですが今回は積分したあとxに0を代入したら分母が0になるので解けませんお願いします 数学 この積分の途中式を教えてください 数学 積分積分 1/(a^2x^2)^(1/2) ∫ 1 a 2 − x 2 d x ・・・・・・(1) (a > 0) a 2 − x 2 > 0 より,これを因数分解すると, (a − x) (a x) > 0 (x − a) (x a) < 0 − a < x < a となる.よって, x = a sin θ (− π 2 < θ < π 2) ・・・・・・(2) とおき,置換積分をする. d x d θ = a cos θ より, d x = a cos θ d θ (3) とな



求不定积分 1 二次根号下 E的x次方加二 雨露学习互助



Methods Of Integration 積分的方法 Ppt Download
//googl/JQ8NysDouble Integral Both Orders of Integration for a Trapezoid y = x, y = 2x, x = 1, x = 2 · Find the range of f(x) = cot1 (2x x 2) inverse trigonometric functions; · 積分 ∫ dx 1 x2 を計算しよう。 *1 方針: x = tanθ とおき、置換 積分 をする。 *2 まず dx の置き換えを計算する: x = tanθ の両辺を θ で 微分 して dx dθ = 1 cos2θ dx = dθ cos2θ ついで 1 x2 の置換を計算する 1 x2 = 1 tan2θ = 1 sin2θ cos2θ = 1 cos2θ 1 1 x2 = cos2θ したがって 不定 積分 は



实用特殊积分求法 每日头条



How To Integrate X 3cosx 2 1 2 Sqrt 4 X 2 Dx For The Interval Of 2 And 2 Quora
· 積分では sin 2 \sin^2 sin2 とか cos 2 \cos^2 cos2 がきたら半角の公式だから、ここはすぐに反応できるようにね。 半角の公式 cos 2 x = 1 cos 2 x 2 \displaystyle \cos^2 x=\frac {1\cos 2x} {2} cos2 x = 21cos2x展開したくないもの(分母)のかっこ内を 1文字にする : x−1=t とおいて置換積分を行う =1 → dx=dt (i) 2x1=2(t1)1=2t3 (ii)Integrate x^2 sin y dx dy, x=0 to 1, y=0 to pi;



数学长征 分项分式积分法 数学技巧 长除法 部分分式 微积分处理技巧之一 微积分处理技巧 数学长征 数学知识 大学数学 数学闯关 数学游戏



Integral Of X 2 1 X 2 Youtube
View more examples » Access instant learning tools Get immediate feedback and guidance with stepbystep solutions and Wolfram Problem Generator Learn微分積分 不定積分を求める e^ (2x) e2x e 2 x 多項式を x x の関数で表現する f (x) = e2x f ( x) = e 2 x 関数 F (x) F ( x) は導関数 f (x) f ( x) の不定積分を計算して求めることができます。 Error parsing MathML error on line 1 at column 150 Entity 'int' not defined Error parsing MathML error on line 1 at column 150 Entity 'int' not defined 整数を設定して解きます。 Error parsing MathML error on line 1積分 √ (a^2x^2) ∫ √a2 −x2dx ∫ a 2 x 2 d x (a > 0) ( a > 0) ∫ √a2 −x2dx ∫ a 2 x 2 d x = ∫ 1⋅√a2−x2dx = ∫ 1 ⋅ a 2 x 2 d x = x√a2−x2−∫ −x2 √a2−x2 dx = x a 2 x 2 − ∫ x 2 a 2 x 2 d x 部分積分法 より. f′(x) =1,g(x)= √a2−x2 f ′ ( x) = 1, g ( x) = a 2 x 2



求不定积分 X 2 X X 2 0 5 Dx 的计算过程和结果要不跳的太过看不懂 作业帮



X 2 E X 2 X 2 Dx用于积分 365结算错误我又投注了 365bet平台赌场
微積分I 14 53 被積分関数e2x はf(u) = eu,u = 2x と分解すれば合成関数f(g(x)) とみ なせる.u′ = g′(x) = 2 であるので,問題の不定積分を以下のように変形し 置換積分できるようにする. ∫ e2xdx = 1 2 ∫ e2x 2dx 1 2 ∫ eudu 1 2 eu C 1 2 e2x C 上の計算では定理46 を素直に適用した.この適用のしか · 次の不定積分を計算しなさい。 ∫ 1 √x2 1 dx ∫ 1 x 2 1 d x 「 その1 」と似ていますが、分母が x√x2 1 x x 2 1 から √x2 1 x 2 1 に変わっています。 小さな違いですが、計算はまた大きく変わってきます。 ここでは、「その1」の後半で見た、 tan tan に置き換える方法から見ていきましょう。 x = tant x = tan t (− π 2 < t < π 2) ( − π 2 < t < π 2) と置きます。 tant tan將原先的被積分函數拆為兩個函數相乘,將較容易微分的函數令為,比較容易積分的函數令為,再求出及,然後再代入公式做積分。 例1 解:較容易微分,而不易積分。 令, 則, 例2 解:的微分或積分都是,而的微分是1,積分是。



2x 2 1 X 4 2x 2 1 的不定积分 答案是 1 2arctanx 3x 2 2x 2 C 求过程 雨露学习互助



用坐标系计算二重积分 D 根号 1 X 2 Y 2 Dxdy D X 2 Y 2 1 X 0 Y 0 雨露学习互助
11 不定積分 In = Z 1 xn 1 dx (11) を解く。ただし、n > 1 とする。n が小さい場合の不定積分を見てゆく。 111 n = 1 I1 = Z 1 x 1 dx = lnx 1 C (12) (C は積分定数) 112 n = 2 I2 = Z 1 x2 1 dx = arctanx C (13) (C は積分定数) 113 n = 3 I3 = Z 1 x3 1 dx (14)This equation is in standard form a x 2 b x c = 0 Substitute 1 for a, 2 for b, and 6 − y for c in the quadratic formula, 2 a − b ± b 2 − 4 a c x=\frac {2±\sqrt {2^ {2}4\left (6y\right)}} {2} x = 2 − 2 ± 2 2 − 4 ( 6 − y) Square 2 Square 2 x=\frac {2±\sqrt {44\left (6y\right)}} {2}2705 · e^x/(1e^2x)置換積分法を用いて解く問題なのですがわかりません、なにを置換すればいいのですか、教えてくださいe^xを置換するけど、ひと工夫いるかな。tant=e^xとすると、(1/(cost)^2)(dt/dx)=e^x(1/(cost)^2)dt=e^x dx∫e^x/(1e^2x) d



急求数学帝解答exp X 1 Exp 2x 积分过程我知道答案是atan 1 Exp X 1 Exp X 但是自己积分怎么就积分 不出来呢 我是令t Exp X 然后化成1 T 2 1 1 T 2 积分 但是这样的结果是 Exp 1 Arctan Exp X 作业 慧海网



用python解决高数所有计算题 Sympy求解极限 积分 微分 二元一次方程等 知乎
Let sinθ = x − 1 ⇒ dθ dx cosθ = 1 And if we perform this substitution then we get I 2 = ∫ √1 · Sは積分の前につけるものですS dx =xS x dx=1/2x^2S 1/x dx=loglxlまではわかったのですがS 1/x^2 dxは一体どうなるのでしょうか??まず、全部 積分定数Cが抜けています。また、積分の前につけるものは "インテグラル"と呼び、そう書積分電卓 積分する関数を入力してください 変数 被積分関数 x^2/ (x1) を次の変数で微分する x (x^22*x2*log (x1))/2 注意 log 自然対数 グラフを描く LaTeXエディタで編集 このページへの直接のリンク 変数に次の値を代入する x= 積分電卓 解析積分を用いて所与の変数に対する関数の不定積分 (アンチ導出)を計算する。



3



Integral Of 2x X 2 8 Substitution Youtube
2x dx= x 2 =2 2 −1 2 =3 注意 _____ (x 2 1)=2x _____ (x 2 2)=2x _____ (x 2 3)=2x だから, x 2 1, x 2 2, x 2 3, も 2x の原始関数であり, 2x の原始関数は1つではない. 定積分の計算には,そのうちどれか1つの原始関数を用いればよいが,計算が簡単なように C=0 となるもの簡単な置換積分は、一々変数の置き換えをせずに、 ∫ (x2 1)3xdx = 1 2 ∫ (x2 1)3d(x2 1) = 1 2 1 4 (x2 1)4 と計算するのも一法。 4 部分積分 積分の次なる技法は、積の微分の公式に由来するもので、「部分積分」と称される。積 の微分公式 (f(x)g(x))′ = f′(x)g(x) f(x)g′(x) を ∫ f′(x)g(x)dx ∫解 答 置換積分を行います。 まずは, u = x 1 とおいてみましょう。 du dx = 1 ∴ du = dx ∫x√x 1dx = ∫(u − 1)√udu = ∫(u3 2 − u1 2)du = 2 5u5 2 − 2 3u3 2 C = 2 15u3 2(3u − 5) C = 2 15(x 1)3 2{3(x 1) − 5} C = 2 15(x 1)3 2(3x − 2) C これで計算できるのですが,一般的には u = √x 1 とおいた方が計算が容易になります。



求不定积分 1 X 2x 5 Dx 雨露学习互助



ほとんどのダウンロード X1 X2 積分
Our calculator allows you to check your solutions to calculus exercises It helps you practice by showing you the full working (step by step integration) All common integration techniques and even special functions are supported1-7 不定積分 Z x √ xdx を求めよ。 1-8 不定積分 Z 1 x √ x dx を求めよ。 1-9 不定積分 Z (2x2 3x 4)dx を求めよ。 1-10 不定積分 Z (x 1 x)dx を求めよ。 1-11 不定積分 Z (2 x − 3 x2)dx を求めよ。 1-12 不定積分 Z (2ex − 1 x · 上野竜生です。√(x 2 a 2)の積分を丁寧に解説しようとすると長くなったのでラスボス前の中ボス程度の1/√(x 2 a 2)は別ページにわけることにしました。 ラスボスについてはこちらをご覧ください。 今回考える積分



Integral Of 1 X 2 2x 2 Substitution Youtube



1 X 29 X 2 Dx2 X 2 1 急 不确定积分 多次操作 详细过程 好加点o 365bet送彩金 365注单审核不能提款
· 回答数: 2 件 ∫1/x√x^21を積分しろ という問題があるのですが、解答をみると √ (x^21)=tx と、置き換えて積分していくのですが、僕は √ (x^21)=t とおいて積分したのですが、これでは出来ないのでしょうか? 一応これでも計算はできた(つもり? )のですが、解答と答えが違っていたのでどこかで、ミス(思い違い?含有a 2 − x 2 ( a 2 > x 2 ) {\displaystyle {\sqrt {a^ {2}x^ {2}}}\qquad (a^ {2}>x^ {2})}的積分 ∫ a 2 − x 2 d x = 1 2 x a 2 − x 2 a 2 2 arcsin x a C {\displaystyle \int {\sqrt {a^ {2}x^ {2}}} {\mbox {d}}x= {\frac {1} {2}}x {\sqrt {a^ {2}x^ {2}}} {\frac {a^ {2}} {2}}\arcsin {\frac {x} {a}}C}0712 · ∫1/(x^21)^2 の不定積分がわかりません 答えは ( 1/2 )*( (x/(x^21)) tan1(x) ) となるようですが、過程がまったくわかりません。 部分積分、置換積分、部分分数分解をためしてみましたが、できませんでした・・・。 見づらく申し訳ありません。



Integral Of X 1 Sqrt X 2 2x 5 Substitution Youtube



求不定积分s X 2 1 X 2 X 1 Dx 数学竞赛平台 数学帮 Math110
2512 · まず x4 4 ですが、これを 因数分解 します え? : x4 4 = x4 4x2 4 − 4x2 = (x2 2)2 − (2x)2 = (x2 2x 2)(x2 − 2x 2) おっふ、ではこれを用いて部分分数分解をします 1 x4 4 = Ax B x2 2x 2 Cx D x2 − 2x 2 = (Ax B)(x2 − 2x 2) (Cx D)(x2 2x 2) x4 4 = (A C)x3 ( − 2A B 2C D)x2 2(A − B C D)x 2(B D) x4 4 ここで分子を比較し在調換積分次序時, 第一步須將積分區域的圖畫出來, 第二步再利用圖形以不同次序描述該區域。 例 求以下積分值 (1) 求 R1 0 dx R1 p x ey3dy。 (2) 求 R1 0 R1 x sin(y2)dydx。 (3) 令 D 為 xy平面上由 x軸, y = x 及 x = 1 所圍成之三角形。 求 RR D sinx x dA。 例 變換Please Subscribe here, thank you!!!



对于似1 1 X 4 型的不定积分的总结 Erasernut 博客园



X 2 X 1 對x的積分 信欣茗數學園地 隨意窩xuite日誌
Share It On Facebook Twitter Email 1 Answer 1 vote answered Nov 9, 19 by SumanMandal (546k points) selected Nov 10, 19 by Vikash Kumar Best answer We have 2x x 2Integrate x/(x1) integrate x sin(x^2) integrate x sqrt(1sqrt(x)) integrate x/(x1)^3 from 0 to infinity;



高斯积分 维基百科 自由的百科全书



一道积分题目怎么做 知乎



求不定积分 Ln X X 2 1 Dx 雨露学习互助



高等数学高数微积分 Sqrt E X 1 Dx不定积分



1 Int X25x1 3 2x5 Dx 2 In See How To Solve It At Qanda



Ch3



不定积分x 3 Sqr 1 X 2 3 Dx 雨露学习互助



Integral Of 1 1 X 2 Substitution Youtube



超越函数e X 2 的定积分 Norstc的博客 Csdn博客



微积分学 不定积分 练习答案 维基教科书 自由的教学读本



1 X 2 A 2 Dxの計算 物理のかぎしっぽ



用第二类换元法求下列不定积分1 根号下x 9 Xdx2 Dx 根号下 X 1 雨露学习互助



换元积分法 维基百科 自由的百科全书



Ex 7 2 Integrate E 2x E 2x E 2x E 2x Ex 7 2



不定积分 Dx 1 X 怎么算 知乎



How To Integrate Sqrt 2x X 2 Youtube



求不定积分 X 2 9 1 2 Dx X 雨露学习互助



1 X 2 的不定积分怎么求 根号下1加上x的平方



Methods Of Integration 積分的方法 Ppt Download



Ex 7 4 24 Integration Dx X 2 2x 2 Equals A X Tan 1 X 1



积分练习草稿8 知乎



画出积分区域 并计算二重积分ss D X 2 Y 2 X Ds 其中d是由直线y 2 Y X及y 2x所围成的闭区域数学竞赛平台



What Is The Value Of The Integral Of E 2x X 2 With Limits From 0 To Infinity Is The Function Even Integrable Quora



Dx X 根号下 1 X平方 的不定积分 作业 慧海网



Solved 1算出下列積分j3xdr A 3x C B 3x2 C C 를x2 Chegg Com



Search Q X 2 E8 A6 E9 97 E6 9f Tbm Isch



单变量微积分笔记11 微分和不定积分 我是8位的 博客园



Integral Xsinx 1 Cos 2 X Dx I Get That In Walfram Www Wolframalpha Com Input I Integral Xsinx 2f 281 2bcos 2x 29 But It Does Not Help Enotes Com



Ch3



求不定积分1 2x 根号下 25 9x 2 Dx 雨露学习互助



X2ex积分 求不定积分 E X 47 X 2 Dx 三人行教育网 Www 3rxing Org



How Do You Integrate Xe 2x Dx Socratic



Integrate Int Dx Sqrt 3 2x X 2 Youtube



计算下列定积分 22 S 5 5 X 3sin 2x X 4 2x 2 1 Dx 数学竞赛平台 数学帮 Math110



1 X 2 1 2 の不定積分がわかりません 1 X 2 1 2 の不定積分が 数学 教えて Goo



三重積分



E 2x 積分 達人專欄 Uvyo



Integral Of 1 1 X 2 Substitution Youtube



单变量微积分笔记11 微分和不定积分 我是8位的 博客园



6 Left 1right Sin4xcosxdx Le See How To Solve It At Qanda



How Do You Integrate X 3cos X 2 Dx Socratic



求解简单高数不定积分 Sin 2x Cos 3xdx我用t Tanx 2代换求得4 3 1 Tan 3 X 2 2 雨露学习互助



改换二次积分s 2 1 Dxs Sqrt 2x X 2 2 X F X Y Dy的积分顺序数学竞赛平台 数学帮 Math110



X 2 1 4x 2 Dx怎么积分 微思作业本



求2道积分的1 1 X 根号1 X 2 Dx 2 X 2 4 Xdx 作业 慧海网



1 Int24 X 2 X 3 X 4 Dx See How To Solve It At Qanda



微积分学 不定积分 练习答案 维基教科书 自由的教学读本



单变量微积分笔记11 微分和不定积分 我是8位的 博客园



定积分证明 Dx 1 X 2 X 0 在 X 1 和在 1 1 X 的定积分相等 作业 慧海网



不定积分sin2xdx 不定积分 Sin2xdx



Integral Of 1 X 2 2x 3 Substitution Youtube



What Is The Integral Of 2x 2 2x X 2 Quora



X 3 X 2 1 の不定積分 申し訳ありませんが 画像を作成しましたの 数学 教えて Goo



6 2 6 1 瑕積分int 0 4 1 X 1 1 3 Dx Youtube



换元不定积分例题 不定积分换元法具体怎么做 三人行教育网 Www 3rxing Org



Ln 1 2x 3x 2 泰勒展开式 高等数学高数微积分calculus泰勒公式



1 Sin2x Sin 2x X Dx求不定积分 作业 慧海网



X根号下 2x X的平方 在0 2上的定积分是多少 雨露学习互助



设f Sin 2x X Sin X 求s Sqrt X Sqrt 1 X F X Dx 数学竞赛平台 数学帮 Math110



Q Tbn And9gctbeywxlcyobmzpipwfvmqop2zvixhc Biaoyf Xegtctkziv6x Usqp Cau



6 2 4 1 部分分式積分法int 1 2x 1 X 1 Dx Youtube



積分の問題です X X 2 1 Dx解ける方いませんか よろしく Yahoo 知恵袋



How To Integrate X 3cosx 2 1 2 Sqrt 4 X 2 Dx For The Interval Of 2 And 2 Quora



X 2 E 2x的积分怎么求 数学作业 解题作业帮



1除以根号下2x X方积分



How Do You Integrate X 2 E 4x Dx Socratic



积分 1 2x X 1 Sqrt 1 X X Dx 雨露学习互助



How Come You Halve The Integral Of 2x 1 2 Dx Quora



怎么解这个不定积分 X 5 X 3 1 X 3 X 2 X 1 Dx 雨露学习互助



Evaluate The Integral Of 1 X2 1 2 Stumbling Robot



对于似1 1 X 4 型的不定积分的总结 Erasernut 博客园



Int 2 2 X 3cos X 2 1 2 Sqrt 4 X 2 Dx



X2 1 X4 1求不定积分 不定积分 X4 1 X2 1 Dx



X根号 2x X 2 Dx 作业 慧海网



高数不定积分求解 Ln 4 X 2 Dx 雨露学习互助



单变量微积分笔记11 微分和不定积分 我是8位的 博客园



Evaluate The Integral Int E 2x Cosx Dx Socratic



求x根号下x X 2 的不定积分 快资讯

コメント
コメントを投稿